Heute ist
SiteMap Abitur-Notenrechner Pruefungskomplexe Interaktive Karteikarten Studientipps Intranet BvC-Gymnasium Unterrichtsprojekte Lazarus-Programme ClassPad-Update eMail
Mathe-Abi
Mathe-Tipps
Wissen/Spiele
Präsentationen
Software
Mathe-Links
Abiturnotenrechner
Wissen/Spiele - Übungen zur Analytischen Geometrie

[Analysis] [Vektoren] [Analytische Geometrie] [Stochastik] [Interaktive Kartei]

G) In den Aufgaben 1. bis 7. ist von den jeweils fünf Auswahlmöglichkeiten genau eine Antwort richtig. Aktivieren Sie den jeweiligen Radiobutton. Da es sich um vorbereitende Aufgaben zur Prüfung handelt, ist die Aufgabenauswahl "querbeet". Wurde eine Frage richtig beantwortet, erscheint vor der Aufgabennummer ein Häkchen und der Radiobutton der richtigen Antwort wird aktiviert. Falsch beantwortete Aufgaben werden nicht aufgelöst. Da heißt es einfach weiter probieren, bis die richtige Antwort gefunden wurde.

Ergebnis:

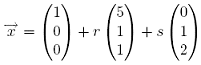
G.1. Gegeben ist die Gleichung der Geraden g in R² in parameterfreier Form: y = 3x - 4. Eine Parametergleichung dieser Geraden lautet:
a)
b)
c)
d)
e)

G.2. Bei der Untersuchung der Lagebeziehung zwischen Geraden kann es zu verschiedenen Lagebeziehungen der Geraden kommen. Wie viele gemeinsame Punkte können drei Geraden maximal haben?
a) b) c) d) e)
1 2 3 4 unendlich viele

G.3. Um die Parametergleichung einer Ebene aufzustellen, benötigt man bestimmte Objekte. Welche der angegeben fünf Varianten reicht nicht für die Aufstellung einer Ebenegleichung aus?
a) b) c) d) e)
3 Punkte 1 Punkt, zwei linear abhängige Vektoren eine Gerade und ein Punkt außerhalb der Geraden zwei parallele Geraden zwei sich schneidende Geraden

G.4. Welcher Punkt ist Element der Ebene E:
a) b) c) d) e)
P(1|2|3) P(-2|0|3) P(-9|0|2) P(0|0|0) P(-1|0|0)

G.5. Gegeben ist die Ebene E: 2x + 3y - 4z = 45 und der Punkt A(-1|2|-3). Welche Koordinaten hat der Spiegelpunkt A' bzgl. der Ebene E?
a) b) c) d) e)
A'(3|2|1) A'(-2|0|3) A'(-3|8|2) A'(3|8|-11) A'(0|1|1)

G.6. Welches der folgenden Vektorenpaare eignet sich nicht als Spannvektoren für eine Ebene?
a) b) c) d) e)

G.7. Welche Punktmenge beschreibt die folgende Gleichung: x² + y² = 25 mit x<=0.
a) b) c) d) e)
Kreis um M(0|0), r=25 Halbkreis um M(0|0), r=5, im II. und III. Quadranten Halbkreis um M(0|0), r=25, im I. und II. Quadranten Viertelkreis um M(0|0), r=5, im II. Quadranten Halbkreis um M(0|0), r=5, im III. und IV. Quadranten